Page 47 - 《水产学报》2025年第12期
P. 47
陈帅钰,等 水产学报, 2025, 49(12): 129604
10 1.5
50 g 50 g
200 g b ab ab b b 200 g d
糖原含量/(ng/mL) glycogen content 6 4 a 乳酸含量/(ng/L) lactate content 1.0 a a ab ab cd a a
8
b
b
0.5
0 2 0
1 2 3 4 1 2 3 4
处理组 处理组
treatment group treatment group
(a) (b)
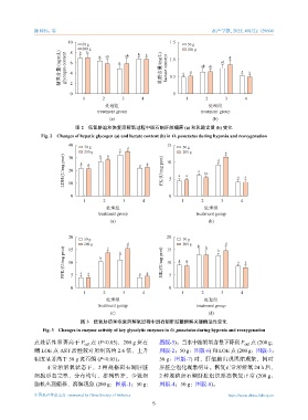
图 2 低氧胁迫和恢复溶解氧过程中斑石鲷肝脏糖原 (a) 和乳酸含量 (b) 变化
Fig. 2 Changes of hepatic glycogen (a) and lactate content (b) in O. punctatus during hypoxia and reoxygenation
40 15
50 g d 50 g
200 g b b c 200 g d e
LDH/(U/mg prot) 20 a a a a PK/(U/mg prot) 10 5 a a c bc a a
30
10
0 0
1 2 3 4 1 2 3 4
处理组 处理组
treatment group treatment group
(a) (b)
20 20
50 g 50 g
200 g c b d 15 200 g b b b d
PFK/(U/mg prot) 10 5 a a b a a HK/(U/mg prot) 10 5 a a a a
15
0 0
1 2 3 4 1 2 3 4
处理组 处理组
treatment group treatment group
(c) (d)
图 3 低氧胁迫和恢复溶解氧过程中斑石鲷肝脏糖酵解关键酶活性变化
Fig. 3 Changes in enzyme activity of key glycolytic enzymes in O. punctatus during hypoxia and reoxygenation
点处活性显著高于 P cri t 点 (P<0.05),200 g 斑石 图版-5)。当水中溶解氧含量下降到 P cri t 点 (200 g:
鲷 LOE 点 AST 活性较对照组高约 2.6 倍,上升 图版-2;50 g:图版-6) 和 LOE 点 (200 g:图版-3;
幅度显著高于 50 g 斑石鲷 (P<0.05)。 50 g:图版-7) 时,肝细胞出现固缩现象,同时
正常溶解氧状态下,2 种规格斑石鲷肝脏 肝脏空泡化现象明显。恢复正常溶解氧 24 h 后,
细胞形态完整,分布均匀,排列整齐,少数细 2 种规格斑石鲷肝脏组织形态恢复正常 (200 g:
胞核出现偏移、溶解现象 (200 g:图版-1;50 g: 图版-4;50 g:图版-8)。
中国水产学会主办 sponsored by China Society of Fisheries https://www.china-fishery.cn
5

