Page 35 - 《水产学报》2026年第2期
P. 35
2 期 李 双,等:跨组织/性别系统评估曼氏无针乌贼内参基因的稳定性 50 卷
35
brain optic lobe heart gill
28 * ** *
C t value 21 * ** ** ***
14
7
0
MF MF MF MF MF MF MF MF MF MF MF MF MF MF MF MF MF MF MF MF
gender gender gender gender
(a) (b) (c) (d)
35
branchial heart intestine stomach caecus
28 ** * *
C t value 21 *** * ***
14
7
0
MF MF MF MF MF MF MF MF MF MF MF MF MF MF MF MF MF MF MF MF
gender gender gender gender
(e) (f) (g) (h)
35
kidney liver pancreas white body
28 * **** **
C t value 21 ***
14
7
0
MF MF MF MF MF MF MF MF MF MF MF MF MF MF MF MF MF MF MF MF
gender gender gender gender
(i) (j) (k) (l)
35
skin testis spermatophore ovary
**
28
C t value 21
14
7
0
MF MF MF MF MF M M M M M M M M M M F F F F F
gender gender gender gender
(m) (n) (o) (p)
35 nidamental gland accessory nidamental all tissues 18S
gland *** ****
28
** ef-1α
C t value 21 ef-1γ
14
β-actin
7
gapdh
0
F F F F F F F F F F MF MF MF MF MF
gender gender gender
(q) (r) (s)
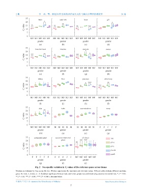
Fig. 2 Sex-specific variation in C t values of five reference genes across tissues
Medians are indicated by lines across the box. Whisker caps denote the maximum and minimum values. Different colors indicate different candidate
genes. M, male. F, female. n = 5. Statistical significance between male and female groups was performed using unpaired two-tailed t-test. *, P < 0.05.
**, P < 0.01. ***, P < 0.001. ****, P < 0.000 1, the same below.
中国水产学会主办 sponsored by China Society of Fisheries https://www.china-fishery.cn
7

