Page 166 - 《高原气象》2026年第2期
P. 166
高 原 气 象 45 卷
466
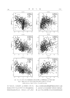
图8 20 m、38 m和56 m的w′的斜坡强度与稳定度参数ζ(左)和摩擦速度u(右)的拟合曲线
*
Fig. 8 Fitting curves of w′ slope strength with stability parameter ζ (left) and
friction velocity u (right) for 20 m, 38 m and 56 m slopes
*
因子)的关系。结果表明, 在不同层结下相干结 垂直 w 风的斜坡强度都随着摩擦速度的增大而增
构的热力学因子和动力学因子对不同变量的斜坡 大, 这反映了动力机制对相干结构发生的促进作
强度影响表现有所差异。具体而言, 水平 u 风和 用; 而对于稳定度参数不同变量的斜坡强度表现

